“There are no real one-particle systems in nature, not even few-particle systems. The existence of virtual pairs and of pair fluctuations shows that the days of fixed particle numbers are over.” (Viki Weisskopf)
Llevo unas semanas intentado dar el siguiente paso en mi intento por llegar a alcanzar en lo posible el estado de la ciencia en física. Y después de algo más de un año enfrascado en mecánica clásica, relatividad, y mecánica cuántica; por fin he podido comenzar con una teoría que estaba deseando de poder entender con alguna garantía: la teoría cuántica de campos (Quantum Field Theory - QFT). Efectivamente, comprender la QFT es el primer paso para conseguir abarcar con éxito el modelo estándar de partículas a nivel formal, y también para pretender estudiar teorías físicas actualmente en proceso de construcción, como por ejemplo la teoría de cuerdas.
Sea como fuere, me está costando la misma vida entender conceptualmente esta teoría cuántica de campos. Matemáticamente es un reto impresionante (al menos a mí así me lo parece), y el nivel en que se presentan las ecuaciones es tremendamente críptico; donde se mezclan abstractas notaciones de la relatividad con las propias de la mecánica cuántica, dando lugar a fórmulas con la notación bra-ket de Dirac, mezcladas con cálculo variacional y funcional, y con notaciones del cálculo tensorial y del convenio de sumación de índices de Einstein; amén de hacerse como no podría ser de otro modo un profuso uso del cálculo infinitesimal.
Evidentemente en un post del blog no voy a poder explicar a fondo mucho de la QFT (más aún cuando todavía estoy en proceso yo mismo entenderla), pero sí que voy a intentar dar una pequeña introducción de la manera más sencilla posible (que no obstante no será sencilla en el sentido de que cualquier persona pueda entenderla si no tiene cierta base matemática). Esta introducción de hecho me la tomo más como un trabajo personal para afianzar los conocimientos adquiridos, que como un intento de que alguien no entendido en la materia vaya a poder sacarle jugo. De todas formas me alegraría mucho si el esfuerzo invertido en escribir todo este trabajo pudiese ayudar a alguien. Si es así, agradecería a esa persona un comentario :).
A modo de referencia para escribir este artículo he utilizado varios manuales y libros, aunque es de destacar el curso sobre QFT impartido por el profesor Dr. David Tong en la Universidad de Cambridge. Podéis seguir sus clases en este enlace:
www.youtube.com/playlist?list=PLaNkJORnlhZlVkrpQVvCTVvGAMIlXL88Y
Las notas de este curso en formato PDF la tenéis aquí: www.damtp.cam.ac.uk/user/tong/qft/qft.pdf
I. Introducción.
La teoría cuántica de campos trata como su propio nombre indica de trasladar todos los fenómenos físicos observables al concepto de campo. Un campo en general es una representación formal mediante la cual a cada posición del espacio y el tiempo se le asigna una propiedad o valor. Según el tipo de propiedad que se tenga en cuenta para cada punto o posición del campo se hablará de campos escalares, vectoriales o tensoriales.
El caso más sencillo imaginable es el de un campo escalar en tres dimensiones. Al tratarse de un campo escalar, el valor que cada punto del espacio (en este caso de ejemplo en 3-dimensiones) va a poseer es un simple número. Es decir, que podemos imaginar en este caso una especie de cubo donde cada punto infinitesimal concreto del mismo (determinado por sus 3 coordenadas espaciales x,y,z) poseerá un valor que podrá ir variando con el tiempo.
Para hacerte una idea mental de lo que significa este campo puedes pensar en la temperatura en cada punto infinitesimal de una habitación de tu casa. Cada parte de la habitación (cada minúsculo punto de la misma) va a poder representar con un valor real (medido en grados) su temperatura. Pues bien, al conjunto completo de la temperatura en cada punto infinitesimal de ese cuarto se lo denominará campo escalar, y matemáticamente se usará para trabajar con este concepto una función dependiente de la posición y del tiempo, de manera que; pasándole a dicha función el lugar y el momento en que quieres medir la temperatura (para seguir con el ejemplo), la misma devolverá un valor real representando ese valor concreto:
φ(x, t) ∈ R (1)
Hay que tener en cuenta que, al contrario de lo que ocurre en la física clásica tradicional, aquí no estamos interesados por la dinámica (el modo en que varía) las partículas individuales, sino por la dinámica (el modo en que varía) los valores del campo completo que estemos considerando. También hay que tener en cuenta que el dominio del campo φ es infinito, en el sentido de que tendremos un valor como mínimo para cada punto infinitesimal x del espacio bajo consideración. En el caso de tu habitación, por ejemplo; hay infinitas posiciones espaciales (x, y, z):
φ(x=5, y=2.5, z=6, t=0) = 25 grados centígrados,
φ(x=5.01, y=2.6, z=6.0006, t=0) = 25.1 grados centígrados,
etc.
Estos campos no tienen como ya hemos dicho que ser escalares, y la propiedad que se le asigna a cada puntito infinitesimal del espacio podría ser un vector en lugar de un simple número. Este vector tendrá dirección, sentido y magnitud; y lo podéis visualizar por ejemplo en 2 dimensiones con el siguiente gráfico:
Este enjambre de vectores es lo que nos define nuestro campo vectorial de ejemplo en 2 dimensiones (x,y). Si imaginamos ahora este conjunto de vectores en tres dimensiones dentro de un cubo podríamos imaginar que se trata de algo similar a lo que representa por ejemplo algún tipo de fluido al formar un torbellino. Es decir, que cada punto infinitesimal del cubo ya no representa sólo un número sino un vector: una infinidad de vectores si tenemos en cuenta como vimos antes que en cualquier espacio de volumen V hay una cantidad infinita de posiciones determinadas por las coordenadas (x,y,z).
I.1. La precisión de los campos.
La teoría cuántica de campos basa su potencia en reducir todo fenómeno en el mundo al concepto de campo que hemos visto arriba. Es decir, que no sólo es el electromagnetismo lo que se va a reducir a un campo como ocurría con la teoría clásica de campos, sino que vamos a tratar como componentes de campos incluso a las partículas de materia, hablándose de que hay un tipo de campo por cada partícula existente: un campo de electrones, un campo de quarks, un campo de muones, un campo de partículas de Higgs, etc. Todo esto lleva implícito primero un paso al nivel cuántico del concepto clásico de campo, y posteriormente del estudio de la "interferencia" o "interacción" entre estos campos para deducir finalmente la configuración que permite "acoplar" todos estos campos a la vez de manera que se mantenga al mismo tiempo la simetría (la conservación) de las magnitudes físicas fundamentales: conservación de la carga eléctrica, del momento angular, de la energía, del momento lineal, etc.
Merece la pena comentar que al meter las matemáticas "correctas" en medio de esta compleja idea de campos, resulta que muy pocas configuraciones son aptas para lograr mantener la simetría mencionada, siendo además las configuraciones viables (muchas veces una única configuración) extraordinariamente precisas a la hora de describir el fenómeno del mundo, llegándose en ocasiones a una precisión entre la predicción teórica y la medición experimental de más de 10 decimales.
II. Campos cuánticos.
Cuando se procede a llevar al terreno cuántico estos campos de los que hemos hablado, hay que tener en cuenta que se debe de hacer en concordancia con la relatividad especial, por lo que habrá que proceder con cuidado. Así que lo que se suele hacer es partir primero del caso más sencillo posible dentro de la mecánica cuántica tradicional, es decir, aquel sistema de una sola partícula (moviéndose a velocidad no relativista) sin spin intrínseco ni fuerzas (potenciales externos) actuando sobre ella. En este caso la energía total del sistema (denominada como Hamiltoniano H = T + V) se reduce en mecánica cuántica a la energía cinética (T), resultando el operador H:
H = T + 0 = 1/2m P² (2)
siendo m la masa de la partícula, y P el operador momento lineal.
Por otra parte, en relatividad especial la energía total de un cuerpo en relación a su momento lineal se expresa con la expresión (teniendo en cuenta que E0 = mc²):
E² = p²c² + (mc²)² => E = +√p²c² + (mc²)², (3)
H = +√P²c² + (mc²)² (4)
Es decir, que hemos procedido a tomar la energía relativista convirtiendo el momento relativista p de la partícula en un operador cuántico P, y tomando E = H (como la energía total del sistema). Esto nos deja con una ecuación de Schrödinger de la forma:
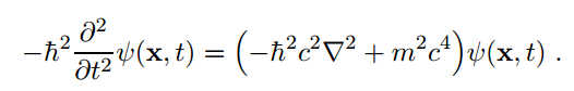
Esta fórmula presenta no obstante algunos inconvenientes como el hecho de que presenta una derivada parcial de primer orden sobre el tiempo a la izquierda y una derivada de segundo orden dentro de una raíz cuadrada a la derecha de la ecuación (y esta asimetría entre espacio y tiempo no es "buena" para la relatividad). Para solucionar esto se toma el cuadrado de ambas partes resultando:
Esta es la ecuación denominada Klein-Gordon siendo de segundo orden tanto espacial como temporalmente presentando la deseada simetría espacio-temporal de la relatividad.
Mencionar brevemente que c² es la velocidad de la luz al cuadrado, m la masa de la partícula, ħ² es un valor constante (la constante reducida de Planck), y el símbolo que semeja a una letra griega Δ invertida es el operador Laplaciano:
correspondiendo ∂²/∂x², ∂²/∂y² y ∂²/∂z² a una derivada parcial sobre cada eje de coordenadas x, y, z.
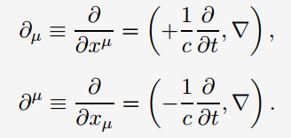
Si trabajamos ahora con sistema de referencia inercial relativista, las coordenadas espacio-temporales vienen determinadas por el vector (ct, x, y, z) que se suelen simplificar con la notación:
Donde x0 = ct para que las 4 coordenadas del vector posean unidades espaciales ([x]= metros, [c] = metros/segundo, y [t] = segundos, por lo que [ct] = metros). Esto quiere decir que estamos representando el mismo vector inercial (ct, x, y, z) pero con una simbología más simplificada (y más críptica).
Esta nueva simbología implica también una simplificación en la forma de expresar las derivadas parciales:
Lo que nos permite también expresar la derivada parcial de segundo orden como:
Todo lo cual nos permite expresar la ecuación anterior (6) de una manera mucho más simplificada como:
Esta ecuación se puede simplificar aún más, resultando finalmente de nuevo la ecuación denominada Klein-Gordon pero simplificada con la nueva simbología utilizada:
Una última simplificación consiste en hacer uso de lo que se conoce como unidades "naturalizadas", lo cual equivale a igualar a uno el valor de la velocidad de la luz y de la constante reducida de Planck:
c = ħ = 1
Lo cual nos deja la ecuación Klein-Gordon de como:
Lo realmente interesante de todo lo visto hasta ahora es el hecho de que hemos encontrado una ecuación para el caso de una partícula moviéndose libremente (sin potenciales externos que la afecten) que es además invariante ante cualquier cambio de sistema inercial (la demostración de este punto no la haré pero es relativamente trivial).
Hasta aquí podría parecer que todo perfecto pero hay un problema, la ecuación Klein-Gordon no es consistente con uno de los axiomas fundamentales de la mecánica cuántica. Al elevar en (6) al cuadrado modificamos al mismo tiempo la ecuación implícita de Schrödinger, haciendo a la parte izquierda de la ecuación de Klein-Gordon depender de una segunda derivada del tiempo en lugar de depender temporalmente de una derivada de primer orden (como en la de Schrödinger). Esto supone un problema porque sea cual sea la función de onda ψ(x,t) que satisfaga la ecuación de Klein-Gordon, no será capaz de conservar la distribución de probabilidad de los estados del sistema libre ques estamos considerando.
En otras palabras, que uno de los postulados básicos de la mecánica cuántica (en sistemas libres) supone que la suma infinitesimal en la probabilidad de encontrar a una partícula en cualquier parte del espacio (en 3 dimensiones) debe resultar en 1. La partícula estará en algún lugar del espacio x' =(x,y,z) con certeza absoluta (=1), y la probabilidad de que esté concretamente en x la da el cuadrado de |ψ(x,t)|² = ψ(x,t)*ψ(x,t). Pues bien, la suma infinitesimal (integral) de todas las probabilidades otorgadas por ψ(x,t) en el espacio completo debe ser siempre igual a 1 independientemente del tiempo en consideración y del sistema inercial desde en que estemos. La norma de la probabilidad se debe por tanto conservar, y esto es precisamente lo que no ocurre desde que elevamos al cuadrado en (6).
II.1. El problema.
Podemos ver el problema más claramente si procedemos a solucionar la ecuación (7) de Klein-Gordon.
Primero tengamos en cuenta que el resultado de multiplicar el 4-vector momento p con un vector posición x relativista es (en relatividad la coordenada 0 del vector posición es temporal y la coordenada 0 del vector momento es igual a la energía E):
La solución más simple a la ecuación (7) va a requerir de una función de onda plana, y se sabe que este tipo de soluciones suponen según la relación de Planck una energía:
es decir, que será equivalente (con ħ = 1) a la frecuencia angular de la función de onda. Sabemos además que la onda posee lo que se denomina un número de onda k, que será el número de veces que vibra una onda por unidad de distancia (magnitud de frecuencia):
siendo λi la longitud de onda sobre cada eje coordenado. De esta manera, y sabiendo que en unidades naturalizadas la energía E es igual a la frecuencia angular, entonces:
El número de onda y el momento relativista (k = p) son pues equivalentes en sistemas de partículas libres. Una solución mediante ondas planas para (7) resulta ser entonces:
Y para realizar la prueba vamos simplemente a tomar uno cualquiera de todos estos k números de onda posibles y a sustituir en (7):
Pero como ya vimos antes que relativamente k = p entonces al usar unidades naturales (con c = 1), tenemos que E² = p²c² + (mc²)² => E² = p² + m²=> E² - p² = m², y finalmente:
Tras factorizar en (9) teniendo en cuenta este hecho podemos ver que:
Es decir, que podemos concluir que como (8) es una combinación lineal de (9), y que como (9) es solución a la ecuación (7), (8) será también una solución de la ecuación de Klein-Gordon. La solución más general.
Pues bien, si sustituimos (8) en la ecuación de Schrödinger enseguida vemos que el segundo término hace que tal solución no satisfaga esta ecuación fundamental de la mecánica. La ecuación de Klein-Gordon obedece por tanto a la relatividad pero no a la mecánica cuántica.
II.2. La solución.
El problema de fondo es que la mecánica cuántica trata a la posición espacial como un operador, mientras que al tiempo lo trata como una etiqueta. La solución consiste en tratar ambas propiedades en igualdad de condiciones: en concreto se trata de no tratar más a x como un operador, sino como una etiqueta más. ¿Y cómo hacer ésto? ¡Pues mediante el uso de campos cuánticos!
La partícula libre ya no será tratada como algo independiente en el espacio, sino como parte de un campo infinito. Así pues ya no trabajaremos con funciones de onda que dan la probabilidad de encontrar en el espacio-tiempo a la partícula libre, sino con campos cuánticos φ(x, t) que indican qué propiedad concreta existe en cierta posición del espacio-tiempo. Si la partícula por ejemplo es un electrón, ya no intentaremos rastrear la probable "trayectoria" de esa partícula mediante el uso de los operadores posición x y momento P de manera que tengamos un modo de calcular la probabilidad de que la partícula pasado cierto tiempo esté en cierto lugar, sino que partiremos por contra de un campo de electrones, aplicando a dicho campo los cálculos necesarios para conocer la dinámica del mismo (el modo en que dicho campo va evolucionando en el tiempo), de manera que en todo momento podamos calcular la probabilidad (relativista) de que en cualquier punto x del espacio tengamos un electrón. Y como (axiomáticamente) todas las partículas van a ser literalmente indistinguibles, la dinámica de este infinito campo de electrones nos irá dictando el modo de seguir en (x, t) el "rastro" de una partícula de cierto tipo.
De hecho, trataremos el concepto de partícula como una especie de excitación dentro de su campo concreto de materia, y tomaremos el concepto de "vacío" como aquel lugar dentro de un campo cuya energía posee el mínimo valor posible (i.e., las posiciones de ese campo donde no hay partículas). Es decir, que según la QFT existen tantos campos como partículas se conocen, siendo estos campos infinitos en extensión espacial y en los estados o valores para cada punto del propio campo (habiendo como poco una infinita suma lineal de estados energéticos posibles para cada punto del espacio-tiempo).
Si en cierto lugar de un campo, por ejemplo; no hay "partículas" (estando "vacío"), eso significa que realmente "sí" que hay "algo", pero que ese "algo" (el propio tejido espacial como dicen algunos autores) posee el estado fundamental de mínima energía (mínima vibración) posible (cuyo valor NO es cero). Y si por contra en cierto lugar del campo nos encontramos con un estado energético muy excitado, eso se entenderá como que en ese punto existe algo así como un paquete de ondas de partículas (del tipo del campo con el que tratemos). De hecho, cuanta más energía presente cierto lugar del campo, se entiende que es porque hay más "partículas" en dicha posición.
II.3. Entendiendo el concepto cuántico de campo.
Es muy importante hacer notar que la solución hallada (9) para la ecuación de Klein-Gordon (7) es equivalente a la suma infinita de lo que en física se conoce como oscilador armónico simple. Este hecho es absolutamente fundamental y ¡es lo que permite tratar a cualquier campo escalar libre como una colección infinitesimal (continua) de estos osciladores!
A modo de resumen mostramos de nuevo la solución general a la ecuación de Klein-Gordon
es la siguiente:
Esta ecuación (10) es igual que la (8) que vimos antes, solo que haciendo infinitesimal (integrando) la suma de los modos de onda (que es equivalente al momento en este caso), y cambiando la notación de Ak por a(k), y B(dagger)k por a*(k). f(k) será una función tal que permita mantener la invarianza de Lorentz entre sistemas de referencia inercial.
Interpretemos la última ecuación de (10). Esta ecuación nos dice que cada punto x (x,y,z) del espacio del campo escalar libre va a contener una infinidad de modos k (que en este caso se puede entender como un modo de vibración de momento p que será igual a su energía). Cada modo k de (10) por tanto tendrá una energía equivalente a la que un oscilador armónico simple tendría con vibrando con esa misma frecuencia.
Esto significa que, por ejemplo; en un lugar del campo escalar x = (x, y, z) = (5.0, 2, 1.255) tendremos en un momento dado (t0) el valor devuelto por
φ((5.0, 2, 1.255), t0) ∈ R (en el caso de campos escalares libres).
Un campo escalar libre en resumen posee un dominio infinito (todo el espacio y el tiempo) y debe devolver siempre un valor real calculado a partir de una suma infinita (integral) de la superposición de estados que tendría un oscilador armónico simple colocado en ese punto concreto x del espacio teniendo en cuenta cada posible modo de vibración del mismo (es decir, su número de onda o momento).
II.4. Resumiendo.
Imagina que un cuarto de tu casa de volumen V, y tamaño LxLxL, está relleno de una especie de campo invisible. Cada punto infinitesimal del cuarto poseerá así un valor real relacionado con la energía que contiene ese minúsculo punto del espacio. Para conocer la suma de la energía total en el cuarto (el Hamiltoniano H), si se trata de un campo escalar libre (sin interacciones ni acoplamientos entre los osciladores), todo se resume a la energía cinética (al momento p en realidad) de cada pequeño lugar del cuarto. Pero como trabajamos con partículas minúsculas capaces de alcanzar velocidades cercanas a la de la luz, debemos mezclar relatividad especial y mecánica cuántica. Esto hace que la energía contenida en un espacio infinitesimal del cuarto venga expresada matemáticamente por el equivalente de una especie de superposición de todos los estados posibles k (o p) para un oscilador armónico simple colocado en ese lugar dx, teniendo en cuenta además que cada estado posible k(o p) va a poseer una serie n (n=1,2,3...) de estados de excitación posibles (interpretado directamente con el número de partículas n que hay en esa posición).
Si en cierto volumen V todos los armónicos se encuentran en el estado fundamental (no excitados), se supone entonces que no hay ninguna partícula ahí (entendiéndose como que el campo concreto se encuentra en un estado de "vacío cuántico").
Visto de otra manera:
Si en un lugar de volumen V del campo escalar libre nos encontramos (tras renormalizar) con cierta cantidad total de energía E, eso será interpretado con el hecho de que en V hay n partículas (indistinguibles y todas con igual masa m) cada una con su propia energía (relacionada la misma con el momento que posea la enésima partícula), de modo que todas esas energías individuales aportan al valor esperado de H(renormalizado).
Cada partícula en este tipo de campos va a poseer por tanto una energía equivalente a:
siendo en este tipo de campos como ya vimos k equivalente a su momento lineal p. La energía total por tanto (es decir, el Hamiltoniano H) de un sistema mecánico-cuántico de n partículas vendrá determinado por el operador Hamiltoniano (renormalizado) actuando sobre un estado (eigenestado) concreto de las n partículas:
Como vemos el observable (el valor real que se medirá en el laboratorio para la energía del campo) viene determinado por el valor de E(kn) para cada partícula n con momento k.
II.5. Cuantificando el campo escalar libre.
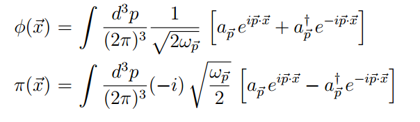
Para poder entender (11) es necesario explicar paso a paso el proceso mediante el cual se transforma el campo escalar clásico de (10) en su versión cuántica. En realidad lo que vamos a hacer es "simplemente" proceder a promover a operador cuántico el campo escalar:
Es importante notar cómo hemos transformado el coeficiente complejo a(k) y a*(k) de (10) en operadores hermitianos, teniendo que
y también que
por lo que la misma fórmula (12) se podría haber expresado utilizando:
de manera que si sustituimos de esta manera y hacemos además k = p podemos expresar el campo y su conjugado (derivando el campo escalar sobre el tiempo) como:
La primera línea de (13) es equivalente a (12), y la segunda no es más como hemos dicho que la derivada de (12) respecto al tiempo.
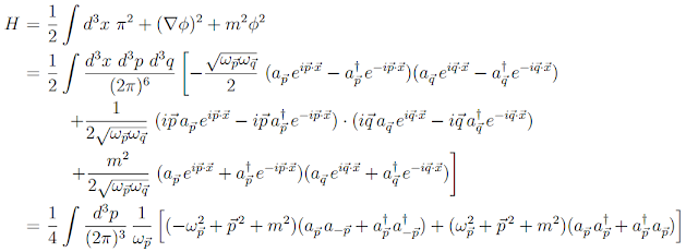
Así pues, ahora procedemos a describir lo que entendemos en este sistema como el operador Hamiltoniano H que nos va a ayudar a calcular la energía localizada en el campo. Para ello lo que vamos a hacer es proceder a la suma continua (integral) de la aportación de energía infinitesimal en todo el espacio d3x = dx·dy·dz. Procedemos por tanto a insertar en (7) el operador φ(x) de (13) (que resuelve la ecuación de Klein-Gordon) e integramos (sumamos) el resultado para todo el espacio.
Insertar (13) en (7) supone realizar el cuadrado de una derivada temporal sobre el campo (es decir, el conjugado del campo al cuadrado), y sumar además la derivada parcial sobre el resto de coordenadas junto con un último término que multiplica la masa al cuadrado con el campo al cuadrado. En total tendremos 3 términos infinitesimales que procedemos a su vez a integrar en todo el espacio:
Hemos sustituido para realizar el cálculo los valores descritos en (13). Hay que hacer notar el hecho de que han aparecido dos momentos infinitesimales dp y dq para tener en cuenta cada elevación al cuadrado supone la combinación de dos modos infinitos para el momento (que hemos llamado p y q).
Y teniendo en cuenta que E = ω y que
finalmente terminamos con:
Tenemos un claro problema con esta expresión...¡la cantidad de energía del sistema sería siempre infinita! Conforme sumamos más y más valores de momentos p cada vez mayores la integral termina divergiendo. A parte de que la función delta del último término (que aparece debido a propiedades del conmutador de los operadores a y a(dagger)) irá también añadiendo un valor igual a 2 veces pi al cubo en cada proceso de la suma continua.
II.6. El estado de vacío cuántico.
Hemos visto que estamos trabajando con una infinidad de osciladores armónicos simples, y por lo tanto cada uno respetará el Hamiltoniano:
Así pues, los operadores de creación y aniquilación (a y a(dagger)) vendrán definidos por:
Cumpliéndose por tanto gracias a las propiedades de conmutación de los operadores x y p lo siguiente:
pudiéndose reescribir el Hamiltoniano del armónico simple como:
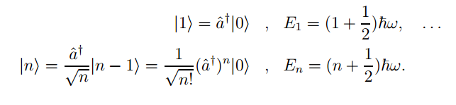
Si partimos ahora de un eigenestado n y aplicamos el operador a(dagger) entonces:
Esto quiere decir que si aplicamos este operador a un eigenestado, alcanzamos otro eigenestado con energía igual a la de En sumándole un cuanto de momento. Por eso se le denomina operador de creación. Justo lo opuesto ocurre con a, por lo que se le llama operador de destrucción.
Si denominamos ahora como estado vacío |0> a aquel estado n sobre el cual al actuar el operador a devuelve un valor para la energía igual a cero a|n> = 0, entonces al aplicar ese estado sobre el Hamiltoniano (15) tendremos que tener en cuenta que a = 0 y por lo tanto (15) al actuar sobre |0> se reduce a:
esta es de hecho la energía fundamental (que como vemos NO es cero) del estado de vacío cuántico (también conocida como la oscilación del vació). Más tarde a partir de este estado de vacío, podemos ir aplicando el operador de creación para ir escalando niveles energéticos excitados para un oscilador:
Lo cual finalmente nos permite definir un nuevo operador N el cual nos va a indicar el número de cuántos de energía que posee cierto eigenestado:
Un armónico estará en un estado más excitado conforme el producto de los operadores a y a(dagger), que como sabemos dependen del momento y la posición, resuelvan en un valor n mayor.
Nota: es muy importante señalar que en la QFT este hecho se simboliza con la idea de que conforme más energía existe en una posición del espacio, más energía posee el estado de superposición del oscilador, y por lo tanto mayor número N tendrá. Esto se relaciona directamente como ya hemos dicho antes con la idea de que en esa parte (x) excitada del campo escalar existen n partículas.
II.7. Renormalización de la energía del vació.
Vimos en (14) que la energía total H resultaba ser infinita para nuestro sistema, y por lo tanto hay que buscar una explicación y una solución para este hecho.
Si aplicamos (14) al estado vacío |0>, y sabiendo que a|0> = 0, entonces de (14) sólo sobrevive el segundo término
Lo que viene a decir que el valor esperado para la energía en el vacío también es infinita. Y es lógico que así sea puesto que hemos acordado que nuestro campo escalar libre es en realidad una especie de superposición de infinitos armónicos simples oscilando, y arriba vimos que la energía esperada en el estado fundamental para el armónico simple en el vacío NO es cero. Así que tenemos una suma continua de energía que acaba divergiendo en el infinito.
Creo que merece aclarar antes de continuar con una imagen de la equivalencia propuesta por la QFT entre partículas y armónicos oscilando:
La equivalencia entre un sistema de osciladores y un sistema de bosones se puede entender mediante los dos sistemas de la imagen de arriba (el sistema 1 es el sistema visto como un conjunto de osciladores vibrando con frecuencia ω y con cierto nivel de excitación, y el sistema 2 -el de abajo- visto como un conjunto de partículas en movimiento):
- El primer sistema de la imagen está formado por dos osciladores armónicos cuánticos vibrando con distintas frecuencias (ωrojo > ωazul).
- El segundo sistema está formado por partículas. Son idénticas salvo por su energía: las rojas tienen más energía que las azules.
Ambos sistemas son equivalentes, entendiendo que las distintas frecuencias ωi del sistema 1 dan las posibles energías ℏωi para las partículas del sistema 2; y que el nivel de excitación del oscilador ωi en el sistema 1 es el número de partículas del sistema 2 con energía ℏωi.
Por ejemplo, en la imagen, el oscilador azul está en el 3er nivel de energía, mientras que el rojo está en el 2º; por otro lado, hay 3 partículas azules con energía ℏωazul y 2 rojas con ℏωrojo. La QFT lleva este ejemplo al extremo al hablar que cada infinitesimal posición x del campo posee un oscilador como los del sistema 1.
Pues bien, y este es el meollo de la cuestión: en el caso del vacío cuántico para cierto volumen V del campo se puede entender como que existirán ahí una serie infinita de estos armónicos con el nivel más básico de energía ℏω/2 pero los cuales como ya vimos se corresponde con un estado fundamental donde de el número cuántico N = a(dagger)·a = 0, lo que implica que no hay partícula alguna (n=0) en ese volumen de espacio (vacío).
Esquemáticamente:
1) Un campo cuántico supone dispersar en el espacio continuo una infinidad de osciladores armónicos acoplados (o desacoplados en el caso del campo escalar libre) cada uno con un modo o frecuencia de vibración determinado ω.
2) Esa frecuencia determinada ω para cada oscilador indica una aportación de energía ℏω.
3) Cada oscilador también posee una serie discretas n de niveles de excitación (modos de movimiento), con n = 0, 1, 2, ...
4) Cada uno de estos niveles energéticos posibles se van a relacionar con las partículas de la siguiente manera: el número de osciladores vibrando a frecuencia ωi en cierto nivel de excitación n, indicará el número de partículas existentes n que poseen una energía igual a ℏωi.
5) En el vacío todos los osciladores vibran en su nivel fundamental no excitado (n=0), por lo que se entiende que no hay partículas (n=0) que sumen con su energía al primer término del Hamiltoniano (14), pero aunque no haya partículas, todavía queda el segundo término de la ecuación mencionada, el cual hace las veces de una especie vibración básica o esencial (algunos hablan de vibración fundamental del propio tejido espacial) igual a ℏωi/2 que suma para cada modo ωi posible.
Por lo tanto el vacío de nuestro campo cuántico, a pesar de no poseer partículas, contiene "en teoría" una cantidad infinita de energía: primero porque el campo es infinito en extensión (ocupando todo el espacio) por lo que hay una infinidad de sistemas armónicos vibrando, y segundo porque cada uno de esos infinitos armónicos aporta como vemos en (16) una infinidad de energía de punto cero (cierta cantidad por cada modo de vibración ω posible para un oscilador armónico).
¿Y qué solución se encuentra a este problema con los infinitos?
Como evidentemente el vacío no puede contener un valor esperado de energía infinito, se procede matemáticamente a solucionar el problema.
En concreto el problema del infinito por la aportación continua de campo infinito en extensión se soluciona acotando el espacio donde se tiene en cuenta la medición a cierto volumen V del espacio. Esto simplemente se corresponde con dividir la energía por unidad de volumen, lo que nos da la densidad de energía en el vacío ( = E0 / V). De esta manera efectivamente borramos la aportación 2 pi cubo de la función delta en (14), pero aún tenemos el problema de la aportación infinita debida a que cada armónico produce una infinita suma continua (integral) sobre todo los modos de vibración posibles ω.
Para resolver este último problema con el infinito se procede a realizar una técnica matemática denominada como renormalización, que grosso modo lo único que hace es ¡ignorar conceptualmente esta energía infinita del vacío! Se da esta cantidad infinita como un hecho y se procede a restar dicho infinito de los cálculos en los que sí hay partículas en el campo.
Es decir, que cuando se va a calcular la energía total H contenida en cierto campo escalar libre, se procede a calcular su valor esperado usando (14), pero se hace restando el valor esperado de la energía del vacío que como sabemos es infinita. Y como el valor esperado mediante (14) es evidente que también diverge para cualquier sistema (incluso con partículas), el hecho de proceder a restar la infinita energía del vacío de la infinita energía del sistema con partículas da el resultado deseado de evitar el infinito.
Y sé que suena paradójico, y que conceptualmente es complicado de interpretar en el mundo físico, pero el caso es que cuando se resta al infinito del sistema con partículas el infinito del vacío, el resultado es una diferencia de energía...¡finita! Esto es consecuencia de que el infinito conteniendo partículas es energéticamente "mayor" que el infinito (esencial) del vacío, por lo que al restar resulta en que la diferencia finita observada representación algo así como la "verdadera" aportación energética de las partículas del sistema.
III. Conclusión.
La teoría cuántica de campos es conceptualmente apabullante y matemáticamente abrumadora. Y eso que la pequeña introducción que he realizado aquí no es más que la punta del iceberg (puesto que sólo hemos tratado con partículas de spin 0 y sin carga eléctrica que además no interaccionan y por lo tanto los armónicos están desacoplados). Para que os hagáis una idea, he tratado (por encima y obviando cosas para no sobrecargar) una pequeña parte (una décima parte quizás) de cualquier manual o libro sobre la QFT.
Me siento privilegiado de poder seguir (insisto, con mucho esfuerzo) esta teoría física, culmen del conocimiento humano hasta la fecha; pero en retrospectiva me queda un regusto amargo. Primero porque las matemáticas empiezan a tener tal nivel de abstracción que se pierde fácilmente la interpretación física real (geométrica) del mundo, y segundo porque esas mismas matemáticas muchas veces se "retuercen" de un modo que parece casi ad hoc para hacer que todo cuadre. Al menos yo lo veo así.
Visto lo visto estoy ahora mismo seguro que muy "pocas" personas entienden y conocen de manera formal la física moderna del modelo estándar. Es muy posible que ni siquiera una parte de los licenciados (o graduados) en ciencias físicas llegan a estudiarla en algún momento, y probablemente los que la estudien acaben aprendiendo sus matemáticas sin llegar a entender realmente a fondo el concepto físico que éstas "ocultan".
Y es que el problema que yo veo no son las matemáticas en sí, que es cierto que son complejas y muy crípticas pero que con un poco de práctica cualquier matemático o físico puede llegar a entender y manejar, sino que con cada paso matemático que se da se emborrona todo de manera que finalmente hay casi que terminar tomando como un acto de fe lo que estas dicen e interpretar el resultado "como mejor se pueda".
Y es por esta razón que me he llevado tres semanas hasta que he "entendido" (lo mejor que he podido) la relación directa entre lo que la teoría matemática dice y la interpretación física (geométrica). Es decir, que sí, que las derivaciones matemáticas las entendí casi al momento (porque tengo ya mucho fondo), pero no llegaba a entender qué decían realmente todos esos resultados.
De hecho tuve que trabajar con 5 manuales a la vez para ir pillando ideas de aquí y de allá de esos breves textos que los autores meten entre ecuación y ecuación. Finalmente creo que tengo el concepto de campo escalar libre "controlado", el cual he intentado expresar aquí de manera introductoria (obviando, por cierto, muchas matemáticas por el camino).
Este artículo es una reedición de esta fuente original: quevidaesta2010.blogspot.com/2017/07/introduccion-la-teoria-cuantica-d












































